Integration Of X4x4 16

Solution Manual Chapter 05 Integration
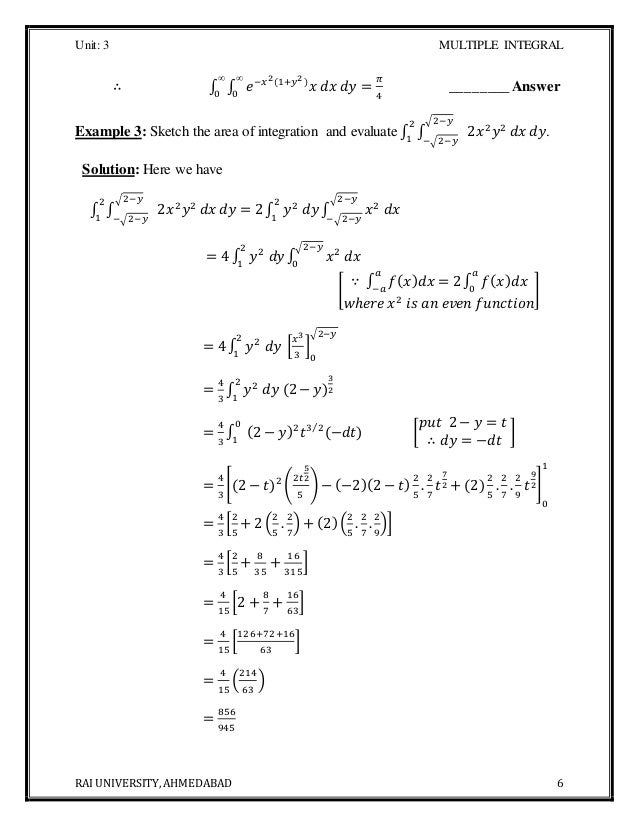
2

Solution Manual Chapter 05 Integration

Btech Ii Engineering Mathematics Unit3

Solution Manual Chapter 05 Integration
2


Higher Higher Unit 1 What Is Integration The Process Of Integration Area Between To Curves Application Ppt Download

How Do You Find The Antiderivative Of Int X 4 4 X 2 Dx Socratic

Answered I Consider The Function F X 4 X2 A Bartleby

Integral Of 1 X Sqrt X 4 1 Substitution Youtube

Integrate Sin X Cos X 9 16 Sin 2x Mathematics Topperlearning Com Or6f06mm

Solved Calculate The Integral Integral 8 X 4 16 Dx 1 2 Chegg Com

X 1 X 4 Dx Evaluate The Indefinite Integral Youtube

Example 14 Prove That Y2 4x X2 4y Divide Area Of Square

Solved Express The Integrand As A Sum Of Partial Fraction Chegg Com

Answered You Are Given The Four Points In The Bartleby

4 3 Integration By Substitution

Lecture 4 Given By Alan Hegarty Ma4602 Ul Studocu
What Is The Integral Of 1 X 2 8x Quora
Q Tbn 3aand9gcrhaxxfnqcbbbjsrhxncv5aeqfsjggadooq6do7vtfspv0ocugv Usqp Cau

Solution Manual Chapter 05 Integration

Integral Indefinida Sol By Jose Antonio Tarifa Garzon Issuu

Integrate X 4 X 10 16 Dx Youtube

Ex 7 4 16 Integrate 4x 1 Root 2x 2 X 3 Teachoo

Int X 9 4x 2 1 6 Dx Is Equal To A 1 5x 4 1 X 2

How To Do The Integration Dx X 4 1 X 6 1 Quora

Solved Question 7 Calculate The Integral Dx 4 16 A Chegg Com

Ex 7 8 4 Integrate X2 X Dx By Limit As A Sum Ex 7 8

Step By Step Math Wolfram Alpha Blog

Ex 7 8 4 Integrate X2 X Dx By Limit As A Sum Ex 7 8
Riemann Sums And The Definite Integral

Integrate X 4 X 4 16 Brainly In

7 4 Integration Of Rational Functions By Partial Fractions Techniques Of Integration In This Section We Will Learn How To Integrate Rational Functions Ppt Download
Riemann Sums And The Definite Integral

Substitution With X Sin Theta Video Khan Academy

Integral Of 1 X 4 1 Using The Residue Theorem Complex Analysis Youtube

Integral By Partial Fractions Calculus Socratic

Ejercicios En Integral
How To Do The Integration Dx X 4 1 X 6 1 Quora

Integral Of X 3 1 X 4 Substitution Youtube
How To Solve This Integration Of X 2 1 Dx X 4 X 2 1 Quora

Integrate X 2 4 X 4 16 Math Integrals Meritnation Com

Step By Step Math Wolfram Alpha Blog
What Is The Integration Of X 4 X 16 Quora

Btech Ii Engineering Mathematics Unit3

Integration By Parts X 𝑒ˣdx Video Khan Academy
Integral Subtitusi Integral Derivative

Step By Step Math Wolfram Alpha Blog

Solved Evaluate The Integral By Reversing The Order Of In Chegg Com

Solution Manual Chapter 05 Integration

Integral Of X 2 1 X 4 1 Youtube

Integral Of 1 Sqrt 16 X 2 Dx Youtube
2

Section 4 4 Using The Fundamental Theorem Difference Equations To Differential Equations Pdf Free Download

Ex 8 1 5 Find Area By Ellipse X2 4 Y2 9 1 Class 12
How To Do The Integration Dx X 4 1 X 6 1 Quora

Integral Of 1 X 4 1 By Brute Force Partial Fraction Youtube

Ejercicios En Integral
Solved Find The Integral Integral Dx X 4 16 A Sketch Chegg Com
Solved Evaluate The Integral Integral X 3 4 2x 2 3 Chegg Com

Ppt Section 4 3 Powerpoint Presentation Free Download Id

Solved Integral X 4 2 X 2 Dx X 5 8x 4 16x 3 C X Chegg Com

Integral Of 1 X 4 1 Partial Fraction Decomposition Youtube

Integral Calculus

Solved Consider The Following Indefinite Integral Integr Chegg Com

16 4 X 2 16 2 X 1 1 0 Mathematics Topperlearning Com Iqr5oa66
Evaluate The Integral Of 1 X4 1 Stumbling Robot

Evaluate The Line Integral Where C Is The Given Curve Integral C Xy 4 Ds C Is The Right Half Of The Circle X 2 Y 2 16 Homework Help And Answers Slader
Q Tbn 3aand9gcqyxvfsc5gdftghfifuoth3kic5ncxu96fkj0s9 Dlo5dauqt0v Usqp Cau

How To Do The Integration Dx X 4 1 X 6 1 Quora
Solved Find The Integral Integral Dx X 4 16 Find The I Chegg Com

Example 10 Find Area Enclosed Between Two Circles X2 Y2 4

Solved Integral X X 2 5x 6 Dx Integral Dx X 4 16 Int Chegg Com
Q Tbn 3aand9gctkfufhuoufneqt8gli8qczw4rv Fwdarpiuuchhkst3qp790az Usqp Cau

How To Do Some Calculus In Sage

80 If Int X 2 4 X 4 16 Dx 1 K Tan 1 X 2 4 Kx C

Solved Find The Indefinite Integral Using The Substitutio Chegg Com

Integral Of 1 X 2 4 Partial Fraction Decomposition Youtube

Integrals With Inverse Trigonometric Functions
Riemann Sums And The Definite Integral
Q Tbn 3aand9gcsdt2uhxkaqg8vzh1pptnadxxptma2smwo8wsypwnq Usqp Cau
Solved Use The Partial Fractions To Find Integral 1 X 2 Chegg Com

How Do You Find The Antiderivative Of Int X 4 4 X 2 Dx Socratic
Solved Find The Integral Integral Dx X 4 16 Chegg Com

Areas Of Enclosed Regions

Calculus Integral 2x 1 X 2 5x 4 Dx Partial Fractions Request Youtube

Step By Step Math Wolfram Alpha Blog

Evaluate The Integral Int Frac Dx Sqrt X 2 16 Mathematics Stack Exchange

How Do You Sketch The Region Enclosed By Y X 2 2x Y X 4 And Find The Area Socratic

21 Least Positive Integral Value In The Domain Of Function F X 4 Left Frac 1 2 Log 4 16 Log 8 Left X 2 4 X 3 Right Right

Integrate X4 X4 16 Math Integrals Meritnation Com
What Is The Smallest Real Root Of X 4 4x 3 6x 2 4x 15 Quora

Find The Area Lying Above X Axis And Included Between The Circle X2 Y2 8 X And Inside Of The Parabola Y2 4 X From Mathematics Application Of Integrals Class

Step By Step Math Wolfram Alpha Blog

Solved Evaluate The Double Integral 4x Cos Y Da D Is B Chegg Com

235 Integral De X Dx Entre X 4 16 Aplicando Formula Youtube

Integral Of X Sqrt 1 X 4 Substitution Substitution Youtube

Solved Consider The Integral Integral X 21 6x 14 12x Chegg Com

Misc 16 Integrate Log X X4 1 1 Class 12 Cbse Miscellaneou

Trigonometric Substitution The Integral Of Sqrt X 2 16 X Youtube

What Is The Integration Of X 2 X 4 1 Quora

Divide 2 X Power 4 9 X Cube 5 X Square 3 X Minus 8 By X Square 4 X 1 And Verify Division Brainly In

Btech Ii Engineering Mathematics Unit3

Integration Area Enclosed By Graph Of X 4 Y 4 1 Mathematics Stack Exchange