X4+3x3+3x2+x+1

How Do You Find The Domain And Range Of F X X 4 4x 3 3x 2 Socratic

How Do I Find The Partial Fraction Decomposition Of X 4 5x 3 16x 2 26x 22 X 3 3x 2 7x 5 Socratic

Solve 2x 1 3x 4 Youtube
Ca Schoolwires Net Cms Lib Ca Centricity Domain 484 Semester 1 final exam review answers Pdf
What Is The Integral Of 3x X 2x 4 X 3x 2 If The Upper Limit Is 1 And Lower Limit Is 0 Quora

If X 1 2 1 3 2 2 3 Show That X 3 3x 2 3x 1 0 Cbseassistance


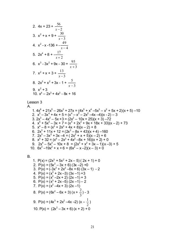
Factoring Review

Y 2 Y X 4 3x 3 2x 3 Y 2 X 4 3x 3 2x 3 Y X 4 3x 3 2x 3 Is An Example Of A Vertical Brainly Com

Solve X 1 2x 3 3x 4 Math Linear Programming Meritnation Com

Calameo Deber 1

6 Extending Algebra 6 0 Introduction 6 1 The Cubic Equation Objectives Pdf Free Download

View Question Just A Few Questions
Check Whether G X X2 3x 1 Is A Factor Of The Polynomial P X 3x4 5x2 7x2 2x 2 By Dividing P X By G X

Int 3x 13 2x 11 4x 4 3x 2 1 4 Dx Is Equal To A

On Dividing The Polynomial Px X 3 3x 2 X 2 By A Polynomial G X Qoutient Q X X 2 And Remainder Brainly In
How To Integrate Math Dfrac 3x 3 X 2 2x 4 Sqrt X 2 3x 2 Dx Math Quora

67 Solve For X 2x 16 3x 1 4x 4 3x 6 2x 7 5 2x 6 A 1 X 5 B 1 X 1 C 8 X 10 D 2 X 2

Divide The Polynomial 3x 4 4x 3 3x 1 By X 1 And Find Its Quotient And Remainder Math Polynomials Meritnation Com

Answer Page

2 For G X 4 3x 3 10 We See That The Line Segment Ax 1 1 Download Scientific Diagram

Solved Max 5x 1 X 2 3x 3 4x 4 S T X 1 2x 2 4x 3 Chegg Com

Warm Up Exercises 1 Use The Quadratic Formula To Solve 2x 2 3x 1 0 Round The Nearest Hundredth 2 Use Synthetic Substitution To Evaluate F X Ppt Download
How To Solve Int 3x 3 X 2 2x 4 Sqrt X 2 3x 2 Quora

How Do You Integrate Int 3x 2 X 4 X 4 3x 2 2 Dx Using Partial Fractions Socratic

Module 1 Polynomial Functions
Solved Solve The Inequality In Terms Of Intervals And Ill Chegg Com
If 2x 1 3x 4 Then 27x 1 8x Quora

Example 7 Divide The Polynomial 3x4 4x3 3x 1 By X 1

Ml Aggarwal Solutions For Class 10 Chapter 5 Quadratic Equations In One Variable Free Pdf Available

College Algebra An Early Functions Approach 1st Edition By Blitzer Solution Manual By Jaqis2 Issuu

Example 2 Solve 5x 3 3x 1 When X Is Integer Real Number
Q Tbn 3aand9gcs L7 Xvu4wejimo1bi2fgzevnvqyl5nroma0v4af0otkcffor3 Usqp Cau

Answered Let F X 4x3 2x2 X 3 And G X Bartleby

6 Extending Algebra 6 0 Introduction 6 1 The Cubic Equation Objectives Pdf Free Download
Q Tbn 3aand9gctv Mynigrtqy4f5kka3dlxusmd5nvrz4q2nbsnkdzgecafxtta Usqp Cau

Calameo Ecuaciones

Divide The Polynomial P X X 4 3x 2 4x 5 By The Polynomial G X X 2 X 1 And Find Quotient Youtube

Solved 3 U X2 1 3x3 6x 5 4 4x2 2x 1 2 3 5x 5 Chegg Com

Divide F X 4x 4 3x 3 2x 2 X 7 By G X X 1 Find Remainde Scholr

Find All The Zeroes Of P X 2x4 3x3 3x2 6x 2 If You Know That Two Of Its Zeroes Are 2 And 2

How To Divide X 4 3x 3 X 2 4x 1 By X 1 Long Division Of Polynomials Youtube

Warm Up Exercises Factor Out A Common Binomial Example 1 2x X 4 3 X 4 A 3y 2 Y 2 5 2 Y B Factor 1 From 2 Y Distributive Property Ppt Download

Class 9 Polynomial 2 Coordinate Geometry Linear Equation In Two Variables Euclid S Geometry Lines And Angles Notes
Find Values Of X If Any At Which F X Is F X Chegg Com

Differentiation Using The Chain Rule

Please Solve Q1 4x4 3x3 2x2 X 1 By X 1 Math Polynomials Meritnation Com
The Polynomial P X X4 2x3 3x2 Ax 3a 7 When Divided By X 1 Leaves The Remainder 19 Studyrankersonline

Ppt Ex 6 Solve Powerpoint Presentation Free Download Id

If P X X 5 4x 4 3x 2 1 And G X X 2 2 Then Divide
Http Www Midwayisd Org Cms Lib Tx Centricity Domain 140 Polynomials review Pdf

How To Solve Polynominals X 4 3x 3 9x 2 27x 0 Youtube
How To Integrate Math Dfrac 3x 3 X 2 2x 4 Sqrt X 2 3x 2 Dx Math Quora
Search Q Dividing Polynomials Tbm Isch

Remainder And Factor Theorem

Ex 6 1 12 Solve 1 2 3x 5 4 1 3 X 6 Cbse Ex 6 1
What Is The Answer For This Problem Integration Limit 0 To 1 Of 3x 3 X 2 2x 4 Divided By X 2 3x 2 Dx Quora
2

How Do You Solve X 4 3x 2 4 0 Socratic

Verify Division Algorithm For The Polynomials Br P X 3x
Solve For X Sol 3x 7 2 7 4 X 1 5 2 3 2x 1 Studyrankersonline
Solve The Given Inequality For Real X 2x 1 3 3x 2 4 2 X 5 Sarthaks Econnect Largest Online Education Community

Factoring 3x 4 2x 3 3x 2 Over The Complex Numbers Youtube

Warm Up Exercises 1 Use The Quadratic Formula To Solve 2x 2 3x 1 0 Round The Nearest Hundredth 2 Use Synthetic Substitution To Evaluate F X Ppt Download
Evaluate The Integral Of X 3 X3 3x2 2x Stumbling Robot
Divide The Polynomial 3x4 4x3 3x 1 By X 1 Find Its Quotient And Remainder And Hence Verify The Division Algorithm

Divide 2x 3 3x 2 4 By X 2 Enotes

Solved 3x 2 X 2 Solve For X 4 3x 8 Solve For X X 3 X 2 Chegg Com
Solved F X X 4 2x 3 X 2 12x 8 F X X 4 4x Chegg Com
Http Websites Delta Edu redman Graphics 122 Exams 122exam01solutions Pdf

The Complete Solution Set Of The Inequality X 4 3x 3 2x

Example 8 Show F X X3 3x2 4x Is Strictly Increasing

Step By Step Math Wolfram Alpha Blog

Find The Remainder When P X 4x 4 3x 3 2x 2 X 7 Is Divided By 2x 1 Brainly In

Divide The Polynomial 3x 4 4x 3 3x 1 By X 1 And Find Its Quotient And Remainder Brainly In

File

Module 2 Polynomial Functions

How Do You Differentiate Y 2x 4 3x 4x 1 Socratic

Pdf Chapter 2 Section 2 1 Check Point Exercises Zv1xl8 Xopdgs Academia Edu

Solve Inequalities With Step By Step Math Problem Solver
Q Tbn 3aand9gcrixojurqup9lk6wbiqccdlx3v8eo1g4a2y4gfl2xjzdcwg1hoi Usqp Cau

X2 5x 6 X2 4x 4 3x 1 5x 2 X Is Not Equal To 2 2 5 Mathematics Topperlearning Com Qfnbyqii

Solved Add Or Subtract As Indicated And Simplify If Possi Chegg Com
F X 4x 4 3x 3 2x 2 X 7 G X X 1 Sarthaks Econnect Largest Online Education Community

Solving Rational Equations And Inequalities Solve 4 3x 5 4 4 3x 5 4 4 12x X Ppt Download

Divide X4 3x2 4x 5 By X2 X 1 And Verify That Dividend Divisor Quotient Reminder Mathematics Topperlearning Com 6zrz1vqq

Find The Other Zeroes Of The Polynomial 2x4 3x3 3x2 6x 2 If And Are The Zeroes Of The Given Polynomial Mathematics Topperlearning Com 8p2943i22

Free Math Answers Answers Within 24 Hours Step By Step Explanations

Polynomials Exercise 2 3 Class 10 Breath Math

Value Of A 4 Divide The Polynomial 3x4 4x3 3x 1 By X 1 By L Scholr

Solve By Factorisation 3x 2 2x 3 3x 8 X 4 Brainly In

Algebra Calculator Tutorial Mathpapa

The Polynomials F X X 4 2x 3 3x 2 Ax B When Divided By X 1 And X 1 Leaves The Youtube

Find The Derivatives Of The Following Functions A Y Xt X2 B Y X2 C Y 3x3 4x 3 Homeworklib

What Is The Quotient 2x 4 3x 3 3x 2 7x 3 X 2 2x 1 Brainly Com

Ex 6 1 16 Solve 2x 1 3 3x 2 4 2 X 5

Solve Linear And Quadratic Equations With Step By Step Math Problem Solver

Module 1 Polynomial Functions

Step By Step Math Wolfram Alpha Blog

Answered Exercise 1 Solve The Following Bartleby

X 4 3x 2 2x 1 X 1 Mathematics Topperlearning Com Zk54umss

13 Find All Zeroes Of 2x 4 3x 3 3x 2 6x 2 If You Know That Two Of Its Zeroes Are S Youtube

Answered The Function 31 Lim X 1 X X 2x 2 Bartleby
2

Remainder Theorem And Factor Theorem