Integration Of X2+1x2+4x2+3x2 5

Add Or Subtract Fractions With Step By Step Math Problem Solver
Secure Media Collegeboard Org Digitalservices Pdf Ap Ap16 Calculus Ab Q4 Pdf

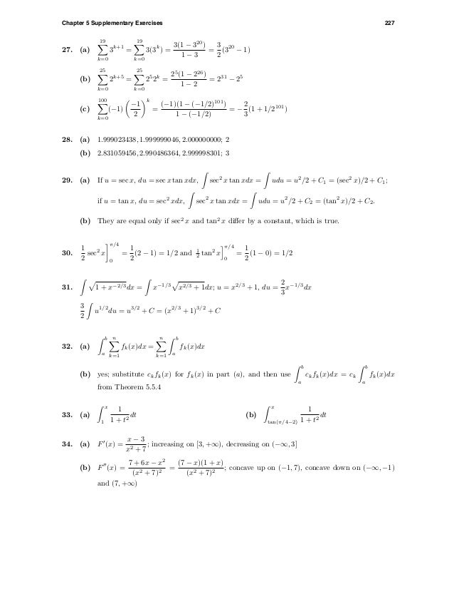
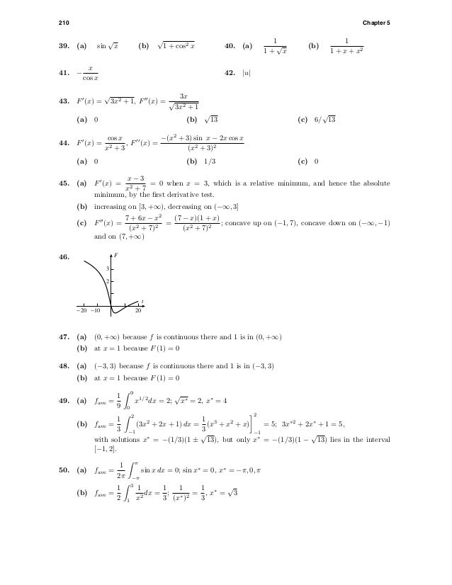
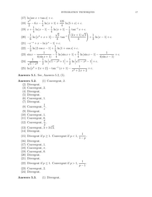
Solution Manual Chapter 05 Integration
Q Tbn 3aand9gct6bdiz0dehhyeuycmrlhlrmgii Yc 0m4sjbhosaoiripkgg4 Usqp Cau
Graphing Function Approximations To The Integral 1 6 X 2 Dx Download Scientific Diagram

Ex 7 9 16 Direct Integrate 5x2 X2 4x 3 Dx From 1 To 2
The integral of (x^2+1)(x^2+2)/(x^2+3)/(x^2+4), is not complex but takes a few steps to get the end result.

Integration of x2+1x2+4x2+3x2 5. Integrate x/(x-1) integrate x sin(x^2) integrate x sqrt(1-sqrt(x)) integrate x/(x+1)^3 from 0 to infinity;. Integrate x^2 sin y dx dy, x=0 to 1, y=0 to pi;. The first step is to write the integrand has a fr.
Applect Learning Systems Pvt. Ex 7.5, 18 Integrate the function (𝑥2+ 1)(𝑥2+ 2)/(𝑥2+ 3)(𝑥2+ 4) (𝑥^2 + 1)(𝑥^2 + 2)/(𝑥^2 + 3)(𝑥^2 + 4) " " Let t = 𝑥^2 = (𝑡 + 1)(𝑡 + 2. Our calculator allows you to check your solutions to calculus exercises.
Solve your math problems using our free math solver with step-by-step solutions. All common integration techniques and even special functions are supported. Here are some examples illustrating how to ask for an integral.
Our math solver supports basic math, pre-algebra, algebra, trigonometry, calculus and more. The Integral Calculator lets you calculate integrals and antiderivatives of functions online — for free!. 2380 views around the world You can reuse this answer Creative Commons License.
Concepts and Contexts,… 4th Edition James Stewart Chapter 4.7 Problem 18E. It helps you practice by showing you the full working (step by step integration). We have step-by-step solutions for your textbooks written by Bartleby experts!.
To avoid ambiguous queries, make sure to use parentheses where necessary.

What Is The Integration Of X 2 X 4 1 Quora

Example 16 Find Integral X2 X 1 Dx X 2 X2 1

Integrate The Rational Functions 3x 5 X 3 X 2 X 1 Mathematics Shaalaa Com

Integral 0 1 3x 2 X 2 2x 4 X 2 3x 2 Dx Brainly In
Http Www Pstcc Edu Facstaff Rtjackso Math19 Quizzes Q3s13soln Pdf

Integral Calculator With Steps
Q Tbn 3aand9gcqw6zmvfbvfwszvamknelcd0ju8o2c4syy7mj2n7xqhekbmdm4y Usqp Cau

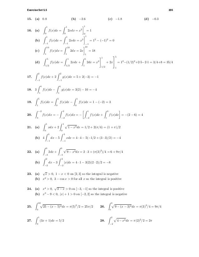
5 1 Areas And The Definition Of Definite Integral Exercises Ecalculus Csu Kaohsiung Taiwan

Solve 2 3 X 5 1 4 X 2 9 2 Mathematics Topperlearning Com Uxbwsg55

The Number Of Integral Solution Of X 2 3x 4 3 X 2 4 In
Solved Integral 5 X 2 Sin 2 5 X Dx U 5 X 5 X Sin Chegg Com

Integral Of 1 X 2 25 Substitution Youtube

Integral Of 1 X 1 2 X 1 3 Dx Youtube

Step By Step Math Wolfram Alpha Blog

Engineering Mathematics Notes

Integration Ppt Download

A Simple Looking Integration Left Frac X 3 1 X 5 Right Mathematics Stack Exchange
Q Tbn 3aand9gcqj072dxn0nldf8r2xsl4vdcnvf Ggzdeproj2cfs3pxtofaq Usqp Cau

Page 30 Integration Problems

How To Draw Y 2 X 2

Integral Calculator Integrate With Wolfram Alpha

Evaluating The Integral Int Frac1 2 3 Cos X 2 Mathrm Dx Mathematics Stack Exchange

What Is The Range Of X 2 3x 5 X 2 5x 4 Mathematics Topperlearning Com Krnplnoo

Solved Use Integration By Parts To Find The Integral Int Chegg Com

Example 10 Ii Example 10find The Following Integrals X 3 Root 5

Ex 7 4 23 Integrate 5x 3 Root X 2 4x 10 Teachoo

Example 10 Find Integrals I X 2 2x2 6x 5 Dx Examples

Engineering Mathematics Notes
Solved Evaluate The Indefinite Integral Integral 3x 4 Chegg Com

How To Integrate 3x 5 5 4x 2x 2 1 2 Dx Quora
Find X 2 1 X 2 4 X 2 3 X 2 5 Dx Sarthaks Econnect Largest Online Education Community

Integral Of 1 4 X 2 Youtube

Solution Manual Chapter 05 Integration
Secure Media Collegeboard Org Digitalservices Pdf Ap Apcentral Ap15 Calculus Ab Q5 Pdf

Indefinite Integral

Solution Manual Chapter 05 Integration
Solved Evaluate The Definite Integral Integral 0 1 6 3 S Chegg Com
How To Integrate Math Dfrac 3x 3 X 2 2x 4 Sqrt X 2 3x 2 Dx Math Quora

Solution Manual Chapter 05 Integration

What Is The Integration Of 1 X 2 X 4 1 Quora

Sample Practice Exam 14 Questions And Answers Math 115 Studocu

Integral Of X 2 1 X 2 Youtube

Solved Determine The Indefinite Integrals Integral9x 2 Chegg Com

Integral Of X Sqrt 1 X 2 Substitution Youtube
𝘶 Substitution With Definite Integrals Article Khan Academy

Integration Ppt Download

11 3 Tests For Convergence Of Improper Integrals

Integration Techniques Integral Calculus 17 Edition Khan Academy
Q Tbn 3aand9gcr Xhxc6xiehpmma 9doxsw15yzk Kx6hydczk4oobbfhcen55e Usqp Cau
How To Integrate Math Dfrac 3x 3 X 2 2x 4 Sqrt X 2 3x 2 Dx Math Quora

Ex 7 5 10 Integrate 2x 3 X 2 1 2x 3 Ncert Class 12

How Do You Integrate Int 3x 18 X 2 5x 4 Using Partial Fractions Homeworklib

Integral X 2 1 X 2 4 X 2 3 X 2 5 Or F L X 2 4 Find 22 3 02 5 Math Integrals Meritnation Com
How To Integrate 3x 5 5 4x 2x 2 1 2 Dx Quora
How To Solve This Integration Of X 2 1 Dx X 4 X 2 1 Quora

Integration Techniques
Solved Integrate 1 Integral 1 X 2 7x Dx 2 Integral Chegg Com
The Integral Dx X 1 3 4 X 2 5 4 Is Equal To Sarthaks Econnect Largest Online Education Community

Exam Autumn 17 Questions And Answers Math 107 Studocu

𝘶 Substitution Definite Integrals Video Khan Academy

Ex 7 5 18 Integrate X2 1 X2 2 X3 3 X2 4

X2 5x 6 X2 4x 4 3x 1 5x 2 X Is Not Equal To 2 2 5 Mathematics Topperlearning Com Qfnbyqii
Solved Evaluate 1 Integral 5 X 2 4 Root X Dx Find The Chegg Com
How To Integrate X 5 1 X 3 Quora
Evaluate 3sin X 2 Cos X 5 Cos 2x 4 Sin X Dx Sarthaks Econnect Largest Online Education Community

Ex 7 9 16 Direct Integrate 5x2 X2 4x 3 Dx From 1 To 2

Integrate 1 X 1 3 4 X 2 5 4 Math Integrals Meritnation Com
How To Integrate Math Dfrac 3x 3 X 2 2x 4 Sqrt X 2 3x 2 Dx Math Quora

Example 9 Find Integrals I Dx X2 6x 13 Class 12

Rs Aggarwal Solutions For Class 12 Chapter 13 Methods Of Integration Free Pdf
Solved Find Each Integral Integrate 2x 2 X 2 2x 5 D Chegg Com

Chapter 9 Applications Of Integration

Int Dx X 1 3 4 X 2 5 4 Equal To A 4 X 1 X 2

Wolfram Alpha Examples Step By Step Solutions
Riemann Sums And The Definite Integral

Using Integration Find The Area Of Triangle Abc Whose Vertices Are A 2 5 B 4 7 And C 6 2 Brainly In

Solution Manual Chapter 05 Integration

Solve Inequalities With Step By Step Math Problem Solver

Integral Of X 3 Sqrt X 2 1 Substitution Youtube

Solved Evaluate The Integral Using The Indicated Trigonom Chegg Com

Solved Integration By Long Division And Partial Fraction Chegg Com

The Number Of Integral Values Of X Satisfying The Inequality X 5 X 3 2 Lt X 5 2 X 3 Youtube

Add Or Subtract Fractions With Step By Step Math Problem Solver
2

Integral Of 1 1 X 2 2 Substitution Youtube

How Do You Find The Integral X Sin X 2 Dx Socratic

Step By Step Math Wolfram Alpha Blog

How Do You Integrate Int 3x 2 15x 23 2x 1 X 2 2 Using Partial Fractions Homeworklib

Integration Calculus Notes

Solution Manual Chapter 06 Application Of The Definite Integral I

Step By Step Math Wolfram Alpha Blog

Ex 7 5 9 Integrate 3x 5 X 3 X 2 X 1 Teachoo
Solved Evaluate 1 Integral X 1 X 2 2x 5 Dx 2 D Chegg Com
Riemann Sums And The Definite Integral

Integration By Parts X Cos X Dx Video Khan Academy

Integration By Partial Fractions Different Forms Videos Solved Examples

Antiderivative Html

Find Int Frac X 1 X 2 5x 6 Dx Why My Solution Is Different From Book Mathematics Stack Exchange