X43

Distributive Property 5 Clear Examples To Use In Class Prodigy Education

Ex 6 1 19 Solve 3 1 X 2 X 4 Linear Inequalities

Solved Let F X X 2 3 4 X 2 3 3 X 4 5 Then D Chegg Com

Air Labels Cargo Aircraft Only Forbidden In Passenger Aircraft 4 3 8 X 4 3 4 S Uline

Amazon Com Parking Permit Hang s 3 1 8 X 4 3 4 Numbered 0000 0499 Box Of 500 Office Products

How To Expand X 3 X 4 Binomials Youtube

Q Tbn 3aand9gcqv 2vmvr1v Qsj 8mjzvlnt6dsm1rhps87tautgzqzqa5xgn87 Usqp Cau

Solve The Equation 1 4 X X X 4 3 X 4 X Answer Ppt Video Online Download
Solution Explain Why The Line X 4 Is A Vertical Line

Ex 4 3 3 Find Roots Of I X 1 X 3 Ii 1 X 4 1 X 7

Tutorial 21 Absolute Value Equations

X 1 X 2 X 3 X 4 3 1 3 Solve For X Brainly In

Expanding And Simplifying X 3 X 4 Youtube

Solve Inequalities With Step By Step Math Problem Solver

Exponents Worksheets2

Ex 2 3 6 Solve 8x 4 3 X 1 7 Chapter 2 Ncert Maths

Lumber Sizes Explained Howe Lumber East Brookfield Ma

Find The Greatest Common Divisor Of F X 2x 3 2x 2 X 4 And G X X 4 3x 3 4x 2 3x Mathematics Stack Exchange

Factor Out A Common Binomial Example 1 2x X 4 3 X 4 A Solution 3y 2 Y 2 5 2 Y B 2x X 4 3 X 4 X 4 2x 3 A The Binomials Ppt Download

اسئلة محلولة عن الدوال والنهايات
Consider The Function F X Whose Second Derivative Is F X 8x 4sin X If F 0 3 And F 0 4 What Is F 3 Socratic

Equation Of A Straight Line Maths Gcse Revision

Ppt Solving Harder Linear Simultaneous Equations Powerpoint Presentation Id
What Is The Solution Of Math X 1 X 2 X 3 X 4 1 Math Quora
Http Www0 Dlshs Org Webpages Kirknerj Documents Chapter6solutions 000 Pdf
Q Tbn 3aand9gcrtbcsrju 6 Bwyczq8y6nyiwunrzonlofcpgfgavyc3yt8jjpk Usqp Cau

Nexcare Tegaderm Waterproof Transparent Dressing 4 In X 4 3 4 In 4 In X 4 3 4 In Walgreens

Solve Inequalities With Step By Step Math Problem Solver

Air Labels Un 3373 Biological Substance Category B 4 3 4 X 4 S Uline
Q Tbn 3aand9gcrov3wjtgmbkhutttmoap Uvo Hlnjfat0btvz7tckfxdzq9gqy Usqp Cau

Quadratic Formula Calculator Mathpapa

Math 80 Module1 1

Multiplying Factors Verifying Your Work Lesson For Kids Video Lesson Transcript Study Com
Polynomial Long Division Wikipedia

What Is The Solution Of Math X 1 X 2 X 3 X 4 1 Math Quora

Solved Find The Inverse Function F 1 X For F X 3 Chegg Com

Solved Solve The Equation Check Your Answers X 3 8 X Chegg Com

All Elementary Mathematics Study Guide Trigonometry Trigonometric Equations Main Methods For Solving

Act Math Strategies For When You Don T Know How To Solve The Problem Video Lesson Transcript Study Com

The Sum Of Consecutive Integers Chilimath
Solve The Following Quadratic Equations By Factorization 2x X 4 2x 5 X 3 25 3 Sarthaks Econnect Largest Online Education Community

Omtex Classes 2x 3y 4 3y X 4 Solve The Following Simultaneous Equations Graphically

Rd Sharma Solutions For Class 8 Chapter 9 Linear Equation In One Variable Download Free Pdf

Simplifying Rational Expressions

What Are Multiplication Arrays And How To Practise Them Math Kids And Chaos
How To Solve X 1 X 2 X 3 X 4 10 3 Quora
4 4 Solve Systems Of Equations With Three Variables Intermediate Algebra 2e Openstax

X 2 6 11 X 3 1 4 3x 14 12 Solve And Check Brainly In

Full Page Ad Size 7 1 4 X 9 3 4 250 00 Outside Back Der Bay

Solve The Following Pairs Of Equations By Reducing Them To A Pair Of Linear Equations I 12x 13y 2 13x 12y 136 Ii 2 X 3 Y 2
Www Mathsgenie Co Uk Resources C2 Factors And Remaindersans Pdf

F X 3 Find The Numerical Value Of

Algebra Calculator Tutorial Mathpapa

Wolfram Alpha Examples Step By Step Solutions

Amazon Com Parking Permit Hang s 3 1 8 X 4 3 4 Numbered 0000 0499 Box Of 500 Office Products

Solve Linear And Quadratic Equations With Step By Step Math Problem Solver

Solve Inequalities With Step By Step Math Problem Solver

Solved Solve 10 3x 4 3 7 X 2x X 1 3 X 17 5x X Chegg Com

Hcf Of Algebraic Expressions By Division Method
Solved Please Answer 1 2 3 4 5 6 7 By Showing All Of Your Chegg Com

Divide P X X4 3x2 4x 5 By G X X2 1 X

3math6 Simplify The Expressions 3 X 4 2x 3 X 2 X 4 X 3 X 2 4 Youtube

Joint And Combined Variation Word Problems Solutions Examples Videos Examples

Ocm Inc 8 X 4 3 4 Plastic Cone 2 250 Hex Head Snap Ties

Divide X4 3x2 4x 5 By X2 X 1 And Verify That Dividend Divisor Quotient Reminder Mathematics Topperlearning Com 6zrz1vqq

Answered Y 4 3 1 2 12x 10y 4 3 5 2 Bartleby

Example 8 Multiply I X 4 And 2x 3 Ii X Y 3x 5y
Q Tbn 3aand9gcqtql6bbquqnifnfabkis3qt18vyuimqclo402 Pv87qury Vk2 Usqp Cau

Times Tables Ms Garcia Math

How Do You Solve X 2 2x 4 Youtube
Completing The Square Factoringccs

Ex 6 1 15 Solve X 4 5x 2 3 7x 3 5 Ncert Ex 6 1
How Would You Solve Math X X 1 X 2 X 3 24 Math Quora

How To Factor Polynomials Easily

Zeros Of Polynomials Matching Equation To Graph Video Khan Academy
Http Www0 Dlshs Org Webpages Kirknerj Documents Chapter8solutions 000 Pdf

Graph By Plotting Points

Divide The Polynomial P X X4 3x Square 4 X 5 By The Polynomial G X X Square 1 X And Find The Brainly In

View Question Just A Few Questions

Solving Exponential Equations Exact Answer For 7 X 3 4 2x 1 Youtube

Quadratic Functions

Factorise X 1 X 2 X 3 X 4 3 Mathematics Topperlearning Com B0sdcrr

5 Ways To Solve For X Wikihow

Ex 2 3 6 Solve 8x 4 3 X 1 7 Chapter 2 Ncert Maths

X Intercept Of A Line Video Khan Academy

Burger King Math Problem How To Get Burger King Math Answer To Avail Promo Code Republic World
4 1 Solve Systems Of Linear Equations With Two Variables Intermediate Algebra 2e Openstax

Solving Exponential Equations Without Logarithms Chilimath

Polynomial Functions

3m 2 5 8 In X 4 3 4 In X 1 1 4 In Sanding Block 9292na 6 Cc The Home Depot

15 7 Limit Of An Absolute Value Function Graphing Calculator By Mathlab User Manual

U1a L1 Examples Factoring Review Examples Ppt Video Online Download
Find Sin X 2 Cos X 2 And Tan X 2 If Tan X 4 3 X In Quadrant Ii Sarthaks Econnect Largest Online Education Community

X 1 X 2 X 3 X 4 10 3 Youtube

Algebra 5 Expanding Simplifying Mathtec

How Do You Solve The Following System Using Substitution 1 X 1 Y 3 4 3 X 1 Y 1 4 Socratic

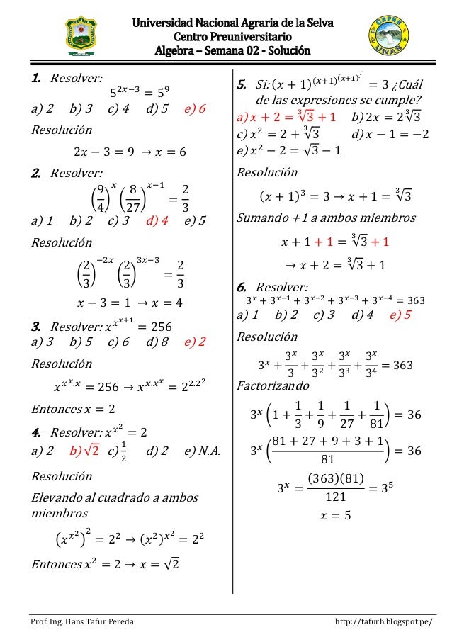
Algebra Semana 2 Solucion

Factoring By Grouping

Find The Product 1 X 6 X 4 Answer X2 2x Ppt Video Online Download

The Point P 7 3 Lies On The Curve Y 3 6 X A If Q Is The Point X 3 6 X Use Your Calculator To Find The Slope Mpq Of

If Int X 1 Sqrt 2x 1 Dx F X Sqrt 2x 1 C Then F X Is E

Information Management And Services Academic Technology Services The University Of Texas Health Science Center At San Antonio

Math 80 Module1 1

Solved Evaluate Integral 0 1 3x 2 1 X 3 4 7 24 1 3 Eva Chegg Com